
Magnetic hysteresis loop measurements are fundamental in many research fields, including magnetoresistance (MR), Hall effect characterization, and magnetic material studies.
However, obtaining a hysteresis loop is easy. Obtaining repeatable and reliable hysteresis data is much more challenging.
Repeatability depends not only on the sample but also on the magnetic field control system, sweep strategy, and thermal stability of the experiment.
This article explains practical strategies for improving magnetic field reversal repeatability in hysteresis loop measurements.
1. Understanding the Physics Behind Hysteresis
Magnetic hysteresis describes how the magnetization of a material depends on its magnetic history.
When a magnetic field is applied to a ferromagnetic material, the magnetic domains align with the field. Even after the external field is removed, some magnetization remains. This residual magnetization is called remanence.
A full hysteresis loop is obtained by cycling the magnetic field from:
0 → positive maximum → negative maximum → back to positive.
This loop reveals key magnetic properties such as:
- Coercivity
- Remanent magnetization
- Saturation magnetization
These parameters are widely used to characterize magnetic materials and devices.
2. Preconditioning the Magnet Before Measurements
One of the most common sources of non-repeatable hysteresis loops is insufficient magnetic preconditioning.
Before collecting data, it is often necessary to:
- Drive the magnet to full positive field
- Drive it to full negative field
- Repeat several cycles
This process stabilizes the magnetic domains in both the sample and the magnet system.
Without preconditioning, the first measured loop may differ from subsequent loops due to domain history effects.
3. Field Sweep Strategy Matters
Magnetic hysteresis measurements depend strongly on how the magnetic field is swept.
Important parameters include:
Sweep Rate
Fast sweeps may introduce:
- Eddy current effects
- Dynamic magnetization delay
- Measurement noise
Slow sweeps generally improve accuracy but increase experiment time.
For precision experiments, sweep rates should be chosen based on:
- Magnet inductance
- Driver voltage capability
- Sample response time
Sweep Symmetry
Field reversal should be symmetric:

Asymmetric sweep ranges can introduce apparent loop shifts or bias.
4. Stabilization Time After Field Changes
Many measurement errors occur because data is taken before the magnetic field stabilizes.
After each field step or reversal, allow time for:
- Current stabilization in the driver
- Magnetic domain relaxation
- Thermal equilibrium
Some experiments require stabilization delays ranging from milliseconds to seconds depending on:
- Magnet inductance
- system noise
- measurement sensitivity
In automated experiments, stabilization delays should be included in the measurement script.
5. Temperature Drift and Its Impact
Temperature affects magnetic measurements in several ways:
- Coil resistance changes with temperature
- Magnetic properties of the sample shift
- Sensor drift increases
Even moderate temperature changes can alter coercivity or loop shape.
Studies have shown that hysteresis properties can vary with temperature due to changes in magnetic energy barriers and domain dynamics.
For high repeatability:
- Allow thermal equilibrium before measurements
- Monitor laboratory temperature
- Avoid long sweeps that heat the magnet system
6. Importance of Stable Current Sources
Magnetic field stability ultimately depends on current stability.
Electromagnet systems require:
- Low-noise current drivers
- High precision ramp control
- Adequate compliance voltage
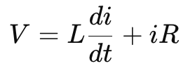
The voltage required to change current in a coil follows:

If the driver lacks sufficient voltage margin, field reversals may become distorted or slow.
Stable excitation power supplies therefore play a crucial role in repeatable hysteresis measurements.
7. Automating Hysteresis Measurements
Modern experiments often use automated measurement platforms.
Typical automated loop measurement includes:
- Initialize magnet driver
- Sweep field to +Hmax
- Sweep to −Hmax
- Sweep back to +Hmax
- Record magnetization or transport signal
Automation improves repeatability by:
- Eliminating manual timing variation
- Standardizing sweep rates
- Logging stabilization delays
This approach is widely used in automated MR and Hall measurements.
8. System-Level Considerations
Reliable hysteresis measurements require coordination between:
- Electromagnet or Helmholtz coil
- Stable excitation power supply
- Field sensors
- Measurement electronics
- Automation software
Cryomagtech magnet systems are designed for repeatable magnetic field control and integration with automated measurement platforms.
Careful system design ensures that the measured hysteresis loop reflects the sample—not artifacts of the measurement setup.
Key Takeaways
- Hysteresis loop repeatability depends on magnetic history
- Preconditioning cycles stabilize the measurement system
- Sweep rate and symmetry affect loop accuracy
- Stabilization delays are essential after field reversal
- Temperature drift can alter magnetic properties
- Stable current sources improve field repeatability
In magnetic measurements, the goal is not only to generate a hysteresis loop—but to generate the same loop every time.