
Many users selecting a Helmholtz coil or electromagnet focus on maximum current.
“±20 A is enough.”
“±50 A driver is fine.”
But then the real problem appears:
- The magnetic field ramps too slowly
- The sweep frequency cannot reach 5–10 Hz
- The system hits voltage limit
- The current waveform distorts
The reason is simple:
Your driver is limited by coil inductance and compliance voltage — not by current rating.
This article explains the real physics behind ramp limitations and how to correctly match a driver to your magnet system.
1. The Equation Everyone Forgets: V = L·di/dt + iR
For any coil system, the required voltage is governed by:

Where:
- L = coil inductance
- di/dt = current ramp rate
- R = coil resistance
- iR = resistive voltage drop
The first term, L·di/dt, is what surprises most users.
Inductance resists change in current.
The faster you want to ramp, the higher voltage you need.
For background on inductance behavior:
- Wikipedia – Inductance
https://en.wikipedia.org/wiki/Inductance
2. Why Current Rating Alone Is Misleading
Suppose:
- Coil inductance: 50 mH
- Target ramp: 10 A in 10 ms
That means:
di/dt = 1000 A/s
Voltage required from inductance term:
V = L·di/dt = 0.05 × 1000 = 50 V
And that’s before adding iR.
If your driver compliance voltage is ±30 V, it physically cannot reach that ramp rate.
It doesn’t matter if the current rating is ±40 A.
You are voltage-limited.
3. Compliance Voltage: The Silent Limiter
Compliance voltage is the maximum output voltage a current driver can generate while trying to force the set current.
When:
L·di/dt + iR > Vmax
the driver saturates.
What happens then?
- Current rise slows down
- Waveform distorts
- Sweep frequency drops
- Field accuracy degrades
Users often interpret this as:
“The coil is unstable.”
“The driver is noisy.”
No. It’s basic electromagnetics.
4. Helmholtz Coils vs Electromagnets: Inductance Matters
Helmholtz coils:
- Typically higher inductance
- Designed for uniform fields
- Slower response unless voltage headroom is sufficient
Electromagnets (iron-core):
- Lower inductance than large air-core systems
- But higher resistance
- May require significant compliance voltage at high current
Driver selection must consider:
- Inductance (L)
- Resistance (R)
- Desired ramp rate
- Target sweep frequency
Ignoring L leads directly to ramp failure.
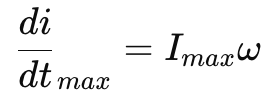
5. Sweep Frequency and di/dt: The Real Bottleneck
If you are sweeping sinusoidally:

Then:

At higher frequency, di/dt increases dramatically.
Example:
- Imax = 10 A
- Frequency = 10 Hz
ω = 2πf ≈ 62.8
Max di/dt ≈ 628 A/s
Even moderate inductance quickly demands high voltage.
For a deeper technical background on electromagnetic behavior, IEEE literature on magnetic device modeling provides extensive analysis:
- IEEE Xplore – Electromagnetic device modeling
https://ieeexplore.ieee.org/
6. Why “It Worked in DC” Doesn’t Mean It Works in Sweep Mode
In DC mode:
V = iR
Inductance is irrelevant once current stabilizes.
But in sweep mode:
L·di/dt dominates.
That is why a system that works perfectly at 20 A DC may completely fail at 5 Hz bipolar sweep.
This is one of the most common driver selection mistakes in magnetic field systems.
7. Practical Driver Selection Checklist
Before selecting a driver for a Helmholtz coil or electromagnet, calculate:
- Coil inductance (L)
- Coil resistance (R)
- Maximum current (Imax)
- Target ramp time or frequency
- Required compliance voltage:

Then choose a driver with:
- At least 20–30% voltage margin
- Stable output under dynamic load
- Low noise under ramp conditions
Without voltage margin, you do not have ramp control.
8. How Cryomagtech Supports Proper Driver Matching
Cryomagtech designs and supplies:
- Helmholtz coil systems
- Electromagnet systems
- Matching excitation drivers with appropriate compliance voltage
We evaluate:
- Inductance and resistance
- Desired ramp rate
- Frequency sweep range
- Thermal limits
👉 Product Link Placeholder – Helmholtz Coil & Electromagnet Systems with Matching Drivers
We ensure the driver is not only current-capable — but voltage-capable.
Because ramp failure is not a current problem.
It is a voltage problem.
9. Key Takeaways
- Ramp rate is limited by L·di/dt, not just current rating
- Compliance voltage defines achievable sweep speed
- High inductance coils require higher voltage headroom
- DC success does not guarantee sweep success
- Driver selection must include voltage margin
If your system cannot reach target ramp rate,
the solution is rarely “more current.”
It is almost always more voltage margin.